Wednesday, 01 October, 2025г.
russian english deutsch french spanish portuguese czech greek georgian chinese japanese korean indonesian turkish thai uzbek

пример: покупка автомобиля в Запорожье

 

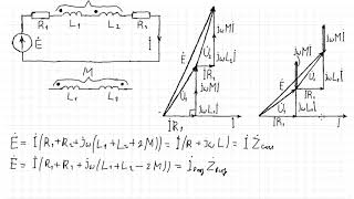
ТОЭ46 Взаимная индуктивность в последовательной цепи. Вычисление взаимной индуктивности

ТОЭ46 Взаимная индуктивность в последовательной цепи. Вычисление взаимной индуктивностиУ вашего броузера проблема в совместимости с HTML5
Электротехника. Теоретические основы электротехники. Магнитосвязанные катушки индуктивности в последовательной цепи. Вычисление взаимных индуктивностей в последовательной и параллельной цепи. Теория электрических цепей, Схемотехника.
Мой аккаунт