Tuesday, 23 December, 2025г.
russian english deutsch french spanish portuguese czech greek georgian chinese japanese korean indonesian turkish thai uzbek

пример: покупка автомобиля в Запорожье

 

Электротехника. Теоретические основы электротехники 22. Применение метода экв. генератора.

Электротехника. Теоретические основы электротехники 22. Применение метода экв. генератора.У вашего броузера проблема в совместимости с HTML5
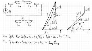
ТОЭ. Решаем задачу, в которой рассчитываем ток в сопротивлении, подключенном к активному двухполюснику, методом эквивалентного генератора. А так же максимальную мощность, затрачиваемую данным сопротивлением. И моделируем всё в программе Mathcad. Теория электрических цепей.
Мой аккаунт