Saturday, 17 January, 2026г.
russian english deutsch french spanish portuguese czech greek georgian chinese japanese korean indonesian turkish thai uzbek

пример: покупка автомобиля в Запорожье

 

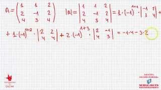
Математика без Ху%!ни. Как вычислить определитель.

Математика без Ху%!ни. Как вычислить определитель.У вашего броузера проблема в совместимости с HTML5
Математика без Ху%!ни. Как вычислить определитель. Пример 3х3. Раскрытие по определению. Способ получения нулей в строке или в столбце. Закажи онлайн-помощь прямо сейчас и получи скидку 100р vk.com/sergejkuts vk.com/matematikaprosto
Мой аккаунт