Wednesday, 08 October, 2025г.
russian english deutsch french spanish portuguese czech greek georgian chinese japanese korean indonesian turkish thai uzbek

пример: покупка автомобиля в Запорожье

 

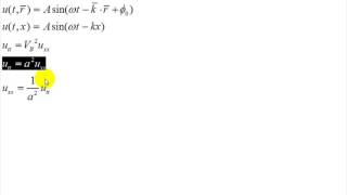
Колебания и волны | волны | волновое уравнение | 2

Колебания и волны | волны | волновое уравнение | 2У вашего броузера проблема в совместимости с HTML5
Колебания и волны | волны | волновое уравнение | 2 Уважаемые пользователи YouTube рад приветствовать вас на моём канале! Здесь вы найдёте массу материала по математике и физике различного уровня трудности. Стараюсь изложение делать максимально замкнутым. Чтобы для понимания рассказываемого было достаточно того, что содержится на канале. На канале довольно много материала и для более быстрого поиска вы всегда можете обратиться с вопросами лично ко мне. Также я стараюсь развивать инфраструктуру для навигации. Для взаимодействия с вами у меня есть также ряд ресурсов: https://vk.com/pauldenker (моя группа в контакте) https://vk.com/paul_denker (моя личная страница) https://twitter.com/varion_denker8 (мой твиттер) https://ru-ru.facebook.com/people/Павел-Шестопалов/1618366602 (моя страница в фейсбуке) http://pauldenker.ru/(мой персональный сайт) Буду рад Вашим комментариям и пожеланиям! Подписывайтесь на мой канал и следите за его пополнением.. Ритм около пяти видео в день.
Мой аккаунт